Seçil Erzan'ın evinden çıkan yeni listede Fatih Terim'in şoförü bile var!
Dolandırıcı Seçil Erzan'ın Nisan 2023'te evine yapılan baskında ele geçirilen listedeki isimler açıklandı. Listede Fatih Terim ve şoförü de yar aldı.
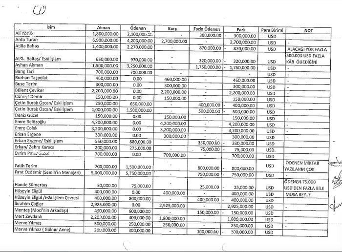
Habertürk'ten Mustafa Şekeroğlu’nun haberine göre; Erzan'ın Çorlu'daki evinde biri dolar diğeri Türk lirası olarak yazılmış bir liste ele geçirildi. Listenin içeriği; isim, alınan, ödenen, borç, fazla ödenen, fark, para birimi ve not olarak hazırlandığı görüldü.
Hazırlanan dolar listesi, 47 kalem olarak sıralanıyor. Listede ünlü teknik direktör Fatih Terim’in ismi de yer alıyor. Fatih Terim’den 700 bin dolar alındığı, 1 milyon 500 bin dolar ödendiği yazılıyor. 800 bin dolar fazla ödenen listenin not bölümüne "Ödenen miktar yazılanın çok" ibaresi düşülmüş. TL listesindeki isimler arasında Fatih Terim’in şoförü Umut Algöze de yer alıyor. Listeye göre Algöze 100 bin lira ödemiş, 150 bin olarak parasını almış gözüküyor.
İşte o liste:



HABERE YORUM KAT
Türkçe karakter kullanılmayan ve büyük harflerle yazılmış yorumlar onaylanmamaktadır.